By Sahil Rane, Dhirubhai Ambani International School
Citation
Rane, S. (2020) A study of the temperature and humidity conditions in Mumbai in the month of October. Routes 1(2): 236-248.
Abstract
The main focus of this report is to analyze the heat index data collected at the Colaba Surface observatory in Mumbai (India) in October from 2010-2019. In this report we will be carrying out a descriptive, numerical and graphical statistical analysis of the data. The report also discusses reasons as to why such hot events occur in the month of October. This is carried out in order to better forecast temperatures in the month of October. The key finding was that there are oppressive temperature and humidity conditions in October, which warrant precautions as proved by the 105 ‘Dangerous’ events in October over the course of 10 years. These conditions are likely caused due to the apparent migration of the sun and various local air circulations.
Key terms
- Heat Index (apparent temperature): It is a combination of the temperature and relative humidity, which gives a notion of perceived heat. The heat index is significant for outdoor workers as it governs the precautions that they need to take. The moisture content in the air affects the rate of evaporation of sweat from the body. When humidity is high the rate of evaporation of sweat is low, whereas when the humidity is low the rate of evaporation is high. This reduced rate of evaporation causes a decrease in the body’s ability to cool itself and we feel hotter.
- October Heat: October has oppressively high temperature and humidity conditions. This phenomenon is commonly referred to as October Heat. (Mukherjee & Chowdhury, Expeditions)
1. Introduction
In India, 4 major seasons are experienced: Summer season (March to May), Monsoon season (June to September), Retreating Monsoon Season (October to November), Winter Season (December to February). This paper studies the temperature and humidity conditions in October by analyzing Heat Index data. It also attempts to suggest theoretical causes for the observations made through the analysis of the data.
In India, 4 major seasons are experienced: Summer season (March to May), Monsoon season (June to September), Retreating Monsoon Season (October to November), Winter Season (December to February). This paper studies the temperature and humidity conditions in October by analyzing Heat Index data. It also attempts to suggest theoretical causes for the observations made through the analysis of the data.
Being able to pinpoint the causes for ‘October Heat’ can increase accuracy of temperature forecasts. Furthermore, if temperature and humidity conditions are deemed high risk necessary steps such as warnings and raising awareness among the general public must be taken. There is little to no literature studying the phenomenon of ‘October Heat’ making this a unique and important study in meteorology.
2. Methodology
2.1. Data processing
For reliable weather data, secondary data was used from the weather archives of the Indian Meteorological Department. The temperature and relative humidity data was from the Colaba Surface Observatory at 8:30am everyday. From this, the maximum temperature, minimum temperature, and relative humidity data in the month of October from 2009-2019 was obtained. The average temperature was then calculated by using:

The Heat Index was calculated (shown in appendix) using the relative humidity and average temperature using the following formula: (Heat Index Calculator: NOAA).

2.2. Data analysis
First, the rough distribution and spread of the data was analysed, beginning with plotting the histogram of the heat index values (Fig. 1). The mean, median, and mode were used as measures of the central tendency of the data.

The mode of the data is 36℃. To further get an idea of the central tendency of the data the median of the data was calculated as well. The median = 37℃. Next, we will calculate the mean of the data:

The mean is 37.6℃. Since there are some larger values that occur frequently the mode and median may not be the best measures of central tendency in this case. The mean takes into account these large values and lies between the two local maxima on the histogram.
Furthermore, the standard deviation and range was analyzed to understand the variation in the data. To measure the variation in data, first, the range was calculated (Maximum = 53℃, Minimum = 25℃). Thus, the range is 28℃.

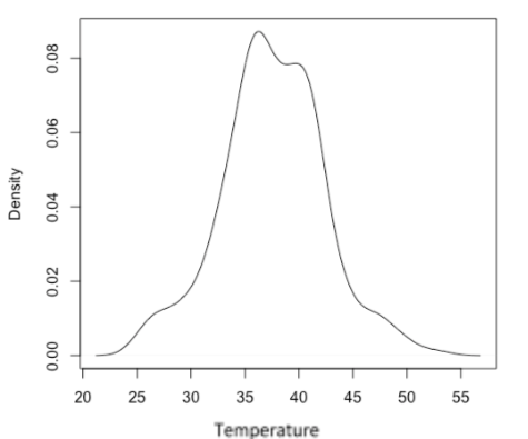
Thus, the standard deviation is = 4.80℃. This relatively high standard deviation becomes clear while looking at the density plot (Fig. 2). The existence of the secondary local maxima causes the standard deviation to be large.

We also look at the box and whisker plot for the data (Fig. 3). According to the boxplot, the outliers in the Heat Index data are: 25℃, 51℃, 53℃.

In Figure 4, it is clear that there is a spike in the average heat index in the month of October that exceeds the average heat index in the Summer season in months like April and May.

2.3. Risk analysis
We now use the heat index values and map them to their risk levels to understand the frequency of each type of event described in the figure below.

Let’s define the temperature ranges and their associated risk based on Figure 5:
- Caution: 27-32℃
- Extreme Caution: 33-39℃
- Danger: 40-52℃
- Extreme Danger: 53-59℃
Based on these temperature ranges and their associated risk level a bar chart was plotted to display the number of days of each type:

2.4. Theoretical explanations for observations
Based on Figure 6, it can be concluded that a majority of the days either fall under extreme caution or danger category and thus it important to take precautions in hot weather in Mumbai. This necessitates a system of warnings to increase public awareness about precautions to be taken.
It is necessary to analyze the causes for high heat index in October since it is not in the summer season. Furthermore, it is important to consider that the Colaba observatory is coastal and experiences the moderating influences of maritime proximity. Theories suggested by me for the observations are:
Theory 1: October experiences high temperatures due to the southward apparent movement of the overhead sun.
October lies between the autumnal equinox and the winter solstice. Due to the tilt of the earth’s axis, apparent movement of the overhead sun is experienced when the earth revolves around the sun. The sun appears to oscillate between the Tropic of Cancer and the Tropic of Capricorn. The Southward migration of the apparent position of the sun towards the tropic of Capricorn begins on summer solstice. When the sun is directly overhead India a low-pressure region is formed and as the sun appears to move southward the low-pressure region moves southward causing northern India to have high pressure. Consequently, winds tend to blow out from the high-pressure region resulting in anti-cyclonic conditions in India. Since wind blows outward the air layers on top begin to sink and take their place. Cloud formation requires the upward movement of air and thus this period is accompanied with clear skies. When there is low cloud cover insolation is high and there is an increase in the earth’s surface and air day temperatures. Low cloud cover affects night temperature as heat can escape when cloud cover is low resulting in high day temperatures and low night temperatures. This is a likely explanation for the rise in temperatures in the month of October.
Theory 2: The high humidity in the month of October could be explained by low pressure conditions over sea surfaces.
Since the low-pressure areas are over waterbodies the sea surface temperatures are high causing high rates of evaporation and consequently high humidity over the sea surface. Mumbai, a coastal region, is affected by this increase in humidity over the sea due to local air circulation through land breeze and sea breeze. During the day when sea breeze occurs the humid air over the sea surface moves towards the coastal areas which causes high humidity in these regions. At night land breeze occurs and the humid air that collects over the landmasses is blown back to oceanic areas. This causes high humidity during the day, which combined with high temperatures contribute to a high heat index.
3. Results and discussion
October has high temperature and humidity conditions that warrant precautions. The mean of the heat index (37.6℃) lies in the extreme caution zone with standard deviation of 4.80℃ thus the temperature often enters the danger zone. 105 readings (Fig. 6) have been recorded in the danger zone making it necessary to accurately predict these events. Theory 1 suggests that rise in temperature is caused by the apparent movement of the overhead sun and lack of cloud cover in the month of October. Theory 2 attributes the rise in humidity to local air circulations such as land breeze and sea breeze owing to Mumbai’s coastal nature. Both theories, together, explain the high heat index in October.
Some limitations to note are: the risk scale (Fig. 5) is defined by an American organization and the heat index risk ranges may change in a tropical country such as India. Furthermore, when the data was collected, the thermometers record the shade temperature in a Stevenson screen. When outdoor workers work they are exposed to direct sunlight putting them at a greater risk making additional precautions necessary.
4. Conclusions
October shows an increase in the temperature and relative humidity conditions in Mumbai. The high heat index in the month of October warrants precautions to be taken by outdoor workers. Furthermore, with the onset of global warming, this heat index can be expected to increase in the future. This increase in temperature and humidity in the month of October should be taken into account while making forecasts and appropriate bias corrections should be applied based on this to minimize forecast error. Future research can focus on investigating the nature of these bias corrections to be applied.
5. Acknowledgements
I would like to thank Dr. Shubhangi Bhute (Indian Meterological Department) for guiding me with the project, helping me ideate, and find data for the research paper.
6. References
Administration. Heat Index Calculator: NOAA. Available at: https://www.wpc.ncep.noaa.gov/html/heatindex.shtml [Accessed September 15, 2020].
Administration., Available at: http://www.imdmumbai.gov.in/scripts/search.asp [Accessed July 26, 2020].
Administration., UNITED STATES DEPARTMENT OF LABOR. OSHA’s Campaign to Prevent Heat Illness in Outdoor Workers | Using the Heat Index | Occupational Safety and Health [Accessed July 26, 2020].
Administration. Available at: https://www.osha.gov/SLTC/heatillness/heat_index/ [Accessed July 26, 2020].
Mukherjee, R. & Chowdhury, B.R., (2016), Expeditions, PEARSON [Accessed July 26, 2020].
7. Appendix
Heat Index was calculated on all days in October from 2009-2019. In Table 1 only the data for 2019 is tabulated for conciseness. (http://www.imdmumbai.gov.in/scripts/search.asp)
| Date | Heat Index in Celsius |
| 01/10/19 | 34 |
| 02/10/19 | 36 |
| 03/10/19 | 36 |
| 04/10/19 | 34 |
| 05/10/19 | 34 |
| 06/10/19 | 35 |
| 07/10/19 | 38 |
| 08/10/19 | 40 |
| 09/10/19 | 36 |
| 10/10/19 | 33 |
| 11/10/19 | 35 |
| 12/10/19 | 39 |
| 13/10/19 | 40 |
| 14/10/19 | 43 |
| 15/10/19 | 40 |
| 16/10/19 | 37 |
| 17/10/19 | 39 |
| 18/10/19 | 32 |
| 19/10/19 | 27 |
| 20/10/19 | 25 |
| 21/10/19 | 32 |
| 22/10/19 | 28 |
| 23/10/19 | 26 |
| 24/10/19 | 29 |
| 25/10/19 | 27 |
| 26/10/19 | 29 |
| 27/10/19 | 33 |
| 28/10/19 | 36 |
| 29/10/19 | 37 |
| 30/10/19 | 40 |
| 31/10/19 | 35 |
#Write for Routes
Are you 6th form or undergraduate geographer?
Do you have work that you are proud of and want to share?
Submit your work to our expert team of peer reviewers who will help you take it to the next level.
Related articles